- Messages : 304
- Remerciements reçus 648
Sujet + Corrigé de l'épreuve Maths Contrôleur FIP 2020-2021
- Dnaref84
-
Auteur du sujet
- Maître Jedi ÷ Maths
-
Moins
Plus d'informations
il y a 5 ans 3 mois - il y a 3 ans 2 mois #167395
par Dnaref84
Sujet + Corrigé de l'épreuve Maths Contrôleur FIP 2020-2021 a été créé par Dnaref84
Bonjour à tous et à toutes,
Comme convenu, voici le sujet et corrigé de l'épreuve de Mathématiques du concours Contrôleur FIP de l'année 2019-2020.
Sujet : Sujet maths Contrôleur FIP 2020-2021
Corrigé : Corrigé maths Contrôleur FIP 2020-2021
Voilà, si vous avez des questions, n'hésitez pas, j'y répondrai volontiers...
Sur ce bon WE à tous.
Comme convenu, voici le sujet et corrigé de l'épreuve de Mathématiques du concours Contrôleur FIP de l'année 2019-2020.
Sujet : Sujet maths Contrôleur FIP 2020-2021
Corrigé : Corrigé maths Contrôleur FIP 2020-2021
Voilà, si vous avez des questions, n'hésitez pas, j'y répondrai volontiers...
Sur ce bon WE à tous.
Dernière édition: il y a 3 ans 2 mois par Dnaref84.
Les utilisateur(s) suivant ont remercié: Yonji, Click
Connexion ou Créer un compte pour participer à la conversation.
- CHOSEN18
-
- Bébé Jr
-
Moins
Plus d'informations
- Messages : 20
- Remerciements reçus 11
il y a 5 ans 2 mois #167749
par CHOSEN18
Réponse de CHOSEN18 sur le sujet Sujet + Corrigé de l'épreuve Maths Contrôleur FIP 2020-2021
Bonjour Dnaref84
Merci d'avoir posté la correction du sujet de mathématique.
Par contre le premier lien du sujet ne marche plus. Quand on essaye de le télécharger on arrive sur une page qui dit que le sujet est dans ta corbeille.
Pourrais tu remettre le lien. Merci
Bonnes fêtes de fin d'année
Merci d'avoir posté la correction du sujet de mathématique.
Par contre le premier lien du sujet ne marche plus. Quand on essaye de le télécharger on arrive sur une page qui dit que le sujet est dans ta corbeille.
Pourrais tu remettre le lien. Merci
Bonnes fêtes de fin d'année
Les utilisateur(s) suivant ont remercié: Yonji
Connexion ou Créer un compte pour participer à la conversation.
- John117
-
- Nouveau
-
Moins
Plus d'informations
- Messages : 5
- Remerciements reçus 5
il y a 3 ans 2 mois #181116
par John117
Réponse de John117 sur le sujet Sujet + Corrigé de l'épreuve Maths Contrôleur FIP 2020-2021
Bonjour,
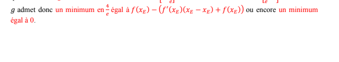
J'aimerais savoir comment dans l'exercice 1 de fonctions, fin de partie A, question 2 b comment on peut affirmer ce qu'il y a écrit en 1ère image ici après avoir trouver le minimum. Quelle est la formule ? .
Et enfin comment on peut conclure aussi rapidement ceci en 2ème image à partir de ce que l'on sait ?
Merci à vous cher Dnaref.
J'aimerais savoir comment dans l'exercice 1 de fonctions, fin de partie A, question 2 b comment on peut affirmer ce qu'il y a écrit en 1ère image ici après avoir trouver le minimum. Quelle est la formule ? .
Et enfin comment on peut conclure aussi rapidement ceci en 2ème image à partir de ce que l'on sait ?
Merci à vous cher Dnaref.
Les utilisateur(s) suivant ont remercié: Yonji
Connexion ou Créer un compte pour participer à la conversation.
- TonyTacos
-
- ·· Bien assidu ··
-
Moins
Plus d'informations
- Messages : 77
- Remerciements reçus 107
il y a 3 ans 2 mois - il y a 3 ans 2 mois #181135
par TonyTacos
g décroissante sur [1;4/e] <=> Pour tout x et y de [1;4/e], ( x<y <=> g(x)>g(y) )
En particulier, avec y=4/e on a : Pour tout x de [1;4/e], g(x)>=g(4/e)
Un raisonnement similaire sur [4/e;2] nous permet d'avoir : Pour tout x de [4/e;2], g(x)>=g(4/e)
On a donc bien un minimum de g en 4/e. Plus précisément un minimum local de g sur [1;2].
Au niveau attendu, on ne te demandera pas de détailler la démonstration une fois que tu as démontré que g est décroissante puis croissante.
De la même façon pour l'image 2, vu que g(x) est la différence entre f(x) et l'équation de (T) et qu'on vient de démontrer que g admet un minimum sur [1;2] et que ce minimum est 0, on peux conclure directement que f(x) est toujours au dessus de (T) sur [1;2] ( et confondues en abscisse 4/e )
B Prog DGFiP 2022
Réponse de TonyTacos sur le sujet Sujet + Corrigé de l'épreuve Maths Contrôleur FIP 2020-2021
Bonjour John,Bonjour,
J'aimerais savoir comment dans l'exercice 1 de fonctions, fin de partie A, question 2 b comment on peut affirmer ce qu'il y a écrit en 1ère image ici après avoir trouver le minimum. Quelle est la formule ? .
Et enfin comment on peut conclure aussi rapidement ceci en 2ème image à partir de ce que l'on sait ?
Merci à vous cher Dnaref.
g décroissante sur [1;4/e] <=> Pour tout x et y de [1;4/e], ( x<y <=> g(x)>g(y) )
En particulier, avec y=4/e on a : Pour tout x de [1;4/e], g(x)>=g(4/e)
Un raisonnement similaire sur [4/e;2] nous permet d'avoir : Pour tout x de [4/e;2], g(x)>=g(4/e)
On a donc bien un minimum de g en 4/e. Plus précisément un minimum local de g sur [1;2].
Au niveau attendu, on ne te demandera pas de détailler la démonstration une fois que tu as démontré que g est décroissante puis croissante.
De la même façon pour l'image 2, vu que g(x) est la différence entre f(x) et l'équation de (T) et qu'on vient de démontrer que g admet un minimum sur [1;2] et que ce minimum est 0, on peux conclure directement que f(x) est toujours au dessus de (T) sur [1;2] ( et confondues en abscisse 4/e )
B Prog DGFiP 2022
Dernière édition: il y a 3 ans 2 mois par TonyTacos.
Les utilisateur(s) suivant ont remercié: Yonji, John117
Connexion ou Créer un compte pour participer à la conversation.
- John117
-
- Nouveau
-
Moins
Plus d'informations
- Messages : 5
- Remerciements reçus 5
il y a 3 ans 2 mois #181138
par John117
Réponse de John117 sur le sujet Sujet + Corrigé de l'épreuve Maths Contrôleur FIP 2020-2021
"vu que g(x) est la différence entre f(x) et l'équation de (T)" Je pensais que ce n'était pas le cas en regardant de plus près :
Il n'y a pas une différence de signe ?
"et que ce minimum est 0" Comment sait-on que g(xE) = 0 ? Lors du calcul de la dérivé on voit que le correcteur pose g'(x) > ou égal à 0, dans les autres sujets c'est toujours strictement supérieur.
Sinon, j'avais bien saisi comment déterminer le signe et le sens de variation c'est trivial.
Merci à vous pour votre patience !
Il n'y a pas une différence de signe ?
"et que ce minimum est 0" Comment sait-on que g(xE) = 0 ? Lors du calcul de la dérivé on voit que le correcteur pose g'(x) > ou égal à 0, dans les autres sujets c'est toujours strictement supérieur.
Sinon, j'avais bien saisi comment déterminer le signe et le sens de variation c'est trivial.
Merci à vous pour votre patience !
Les utilisateur(s) suivant ont remercié: Yonji
Connexion ou Créer un compte pour participer à la conversation.