Proposition de correction partie MATHS du concours commun de cat C - 2018
Proposition de réponse de la partie MATHS du concours commun de cat C qui s'est déroulé le 2 octobre 2018.
Q29 Réponse : 2. 10 km
Q30 Réponse : 4. d’un triangle rectangle
Q31 Réponse : 3 : x=1
Q32 Réponse : 4. 18
Q33 Réponse : 2. 60 000
Q34 Réponse : Un carre de cote A = 4,5 cm
Q35 Réponse : 4, 1 h 42 min 20 s
Q36 Réponse : 2. 24x
Q37 Réponse 3. 12 minutes
Q38 Réponse : 3. 290 euros
Q39 Réponse 4 (Merci à Biscou)
Q40 Réponse : 4. 77
Q41 Réponse 3 En France, les femmes ont une espérance de vie supérieure a celle des pays Limitrophes
Q 29 - Une carte routière est a l’échelle 1/250 000.
Quelle distance réelle représente 4 cm sur cette carte ?
1. 1km
2. 10 km
3. 25 km
4. 100 km
Toutes les solutions sont correctes
Aucune des réponses n'est correcte
4*250 000 = 1 000 000 cm
1 000 0 mètres
Réponse : 2. 10 km
Q30 - Un triangle a trois angles. Un petit, un moyen qui est le double du petit et un grand qui est le triple du petit. Il s'agit donc :
1. d’un triangle équilatéral
2. d’un triangle isocèle
3. d'un triangle quelconque
4. d’un triangle rectangle
Toutes les solutions sont correctes
Aucune des réponses n'est correcte
Somme des angles d’un triangle = 180
petit = 1 mesure
moyen = 2 mesures
grand = 3 mesures
donc 6 mesures pour 180° ALORS 1 mesure = 30°
petit = 30
moyen = 60
grand = 90
triangle équilatéral = triangle dont les trois côtés sont égaux = Angle 60° chacun.
triangle isocèle = triangle ayant au moins deux côtés de même longueur = 2 angles égaux
triangle rectangle = triangle dont l'un des angles est droit = 90° POSSIBLE
Réponse : 4. d’un triangle rectangle
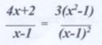
Q31 - Quelle est la solution de l’équation suivante ?

1. x = -3
2. x = -1
3. x = 1
4. x = 3
Toutes les solutions sont correctes
Aucune des réponses n'est correcte
Réponse :
je teste les réponses pour aller plus vite, mais aussi parce que je ne vois pas comment faire autrement
[(4x+2) / (x-1) ] = [3(x²-1) / (x-1)²]
on remplace
1. x = -3
[(4*-3+2) / (-3-1) ] = [3(-3²-1) / (-3-1)²]
= [-12+2 / 2] = [ 3(9-1) / (-4)²
= 5 = 24/16 donc KO (égalité pas respecté 5 n'est pas égal à 24/16)
2. x = -1
[(4*-1+2) / (-1-1) ] = [3(-1²-1) / (-1-1)²]
-4+2 / -2 = 3(0) / -2²
1=0 donc KO (égalité pas respecté)
3 : x=1
[(4*1+2) / (1-1) ] = [3(1²-1) / (1-1)²]
6/0 = 0/0
PAS ORTHODOXE du tout mais l'égalité est là….0=0
4. x = -3
[(4*3+2) / (3-1) ] = [3(3²-1) / (3-1)²]
14/2 = [3(9-1) / (2)²]
7 = [3(8) / 4]
7 = [24 / 4]
7=6 donc KO
Réponse : 3 : x=1
Q32 - La moyenne d’un élève sur 4 épreuves est de 13/20.
Quelle doit être sa note a l'épreuve pour obtenir une moyenne de 14/20 ?
1 15
2. 16
3. 17
4. 18
Toutes les solutions sont correctes
Aucune des réponses n'est correcte
si la moyenne sur 4 épreuves est de 13 donc, total point = 4*13=52
prochaine note = 5*14= 70 points
différence = 70-52=18
Réponse : 4. 18
Q 33 - Trois personnes achètent ensemble un cheval de course. Le premier met le tiers du prix, le second met 45 % de la somme et le dernier met 13 000 euros. Combien coûte ce cheval ?
1. 50 000
2. 60 000
3. 70 000
4. 80 000
Toutes les solutions sont correctes
Aucune des réponses n'est correcte
le 1er met = 33,33 %
le 2eme met 45 %
le 3eme met 13 000 euros
donc le 3eme avec ses 13 000 correspond à 21,67 % (100 – 33,33- 45).
13000/21,67= 599,907…..
donc le cheval doit couter 60 000e
Réponse : 2. 60 000
Q 34 - Trouvez la figure qui possède la plus grande surface parmi les quatre propositions suivantes :
1. Un cercle de rayon r = 2 cm avec PI = 3,14
2. Un triangle rectangle dont le cote oppose mesure 6 cm et le cote adjacent mesure 4 cm
3. Un carre de cote A = 4,5 cm
4. Un rectangle de grand cote L = 6 cm et de petit cote l = 3 cm
Toutes les solutions sont correctes
Aucune des réponses n'est correcte
http://www.devenez-fonctionnaire.fr/maths/fiche-6-le-calcul-de-surface
Aire Triangle : (base x hauteur ) / 2 ou [(ab) x (cd)] / 2
1/ Un cercle de rayon r = 2 cm avec PI = 3,14 = Aire Cercle =pi X R² = 3,14 2*2 = 12,56cm²
2 / Un triangle rectangle dont le cote oppose mesure 6 cm et le cote adjacent mesure 4 cm = (6*4)/2 = 12
3/ 4,5*4,5 = 20,25cm²
4/ 6*3=18
DONC le carré possède la + grande surface.
Réponse : Un carre de cote A = 4,5 cm
Q35 - Supposons un nouveau système de numérotation dans lequel 1 heure ferait 70 minutes et 1 minute ferait 40 secondes.
A quelle durée en heure / minutes / secondes correspondrait une durée de 4 500 secondes ?
1. 1 h 40 min 40 s
2. 1 h 41 min 10 s
3, 1 h 41 min 50 s
4, 1 h 42 min 20 s
Toutes les solutions sont correctes
Aucune des réponses n'est correcte
4500 secondes / 40 = 112,5 minutes donc 112 minutes et la moitié d’une minute alors 20 secondes.
112 /70 = 1 heures et 42 minutes.
Réponse : 4, 1 h 42 min 20 s
Q 36 - l’équation (2x + 3)² - (2x – 3)² est egale a :
1. 4x
2. 24x
3. 4x²
4. 24x²
Toutes les solutions sont correctes
Aucune des réponses n'est correcte
http://www.devenez-fonctionnaire.fr/Maths/fiche-12-les-calculs-litteraux
(a + b)² = a² + 2ab + b²
(a - b)²= a² - 2ab + b²
(2x + 3)² - (2x – 3)² = 4x² +2*2x*3+9 - [4x²-2*2x*-3 +9}
4x² +12x+9 – [4x²-12x+9]
4x² +12x+9 – 4x²+12x-9
24x
Réponse : 2. 24x
Q37 - Pierre doit renouveler l'eau de son aquarium de 120 cm de longueur, 50 cm de largeur et 60 cm de hauteur.
En combien de temps sera-t-il rempli avec un robinet qui a un débit de 0,5 litre par seconde ?
1. 08 minutes
2. 10 minutes
3. 12 minutes
4. 14 minutes
Toutes les solutions sont correctes
Aucune des réponses n'est correcte
volume 120*50*60 = 360 000 cm³
360 000 cm³ = 360 dm³
(1dm3 = 1 litre)
Si 0,5 litres par seconde, il faudra 720 secondes pour remplir l’aquarium.
720/60 =
Réponse : 3. 12 minutes
Q38 - En période de soldes, un téléphone au prix de 420 euros beneficie d'une remise de 30 % et sa coque de protection au prix de 22 euros d'un rabais de 50 %.
Quel sera, a l’euro supérieur, le prix de l'ensemble après application d’une remise complémentaire de 5 % ?
1. 210 euros
2. 259 euros
3. 290 euros
4. 305 euros
Toutes les solutions sont correctes
Aucune des réponses n'est correcte
420*0,3 = 126e donc 290 euros prix du téléphone = 420-126=294
22*0,5=11 donc prix de la coque = 22-11=11
Ensemble = téléphone + coque = 294+11=305
Ensemble avec rabais 5 % = 305*0,05 = 15,25
305-15,25 = 289,75 alors l’euro supérieur = 290e
Réponse : 3. 290 euros
Q 39 - Quelle est la solution de l’inéquation suivante ?
(-2x + 3)(x- 5)>=0

1
2
3
4
Toutes les solutions sont correctes
Aucune des réponses n'est correcte
X>= 0 quand X<= 3/2 pour le premier membre.
X>= 0 quand x>= 5 pour le deuxième membre,
Si on multiplie les deux (faire un tableau de signes), on obtient la réponse 4.
X appartient à [ 3/2; 5]
Reponse 4
Q 40 - Combien vaut (24*35*99) / (4*9*30)
1. 71
2. 73
3. 75
4. 77
Toutes les solutions sont correctes
Aucune des réponses n'est correcte
(24*35*99) / (4*9*30) = 83 060 / 1080 = 77
Réponse : 4. 77
Q41 - A partir du tableau suivant, quelle est l'affirmation inexacte ?
1. La France affiche l’un des taux de mortalité les plus bas *
2. En France, l’espérance de vie des hommes est plus élevée que la moyenne
3 En France, les femmes ont une espérance de vie supérieure a celle des pays Limitrophes
4. L’écart d’espérance de vie entre femmes françaises et bulgares est supérieur a 5 ans
Toutes les solutions sont correctes
Aucune des réponses n'est correcte
on recherche l'affirmation INEXACTE

3 En France, les femmes ont une espérance de vie supérieure a celle des pays Limitrophes, les femmes qui ont une espérance plus élévées sont les femmes espagnoles (elles appartiennent à un pays limitrophes)
Réponse 3 En France, les femmes ont une espérance de vie supérieure a celle des pays Limitrophes